|
Хирургия –
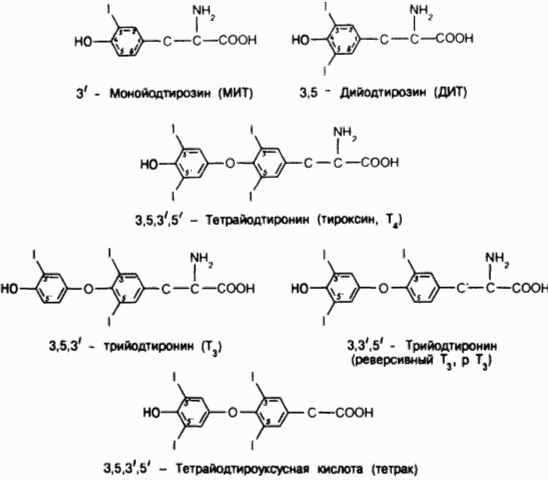
ЙОД: Гормоны щитовидной железы (T3, T4, кальцитонин): образование, транспорт, метаболизм и регуляция через ТТГ. Нормальная функция щитовидной железы направлена на секрецию L-тироксина (Т4) и 3,5,3'-трийод-L-тиронина (Т3) - йодированных аминокислот, которые представляют собой активные тиреоидные гормоны и влияют на разнообразные метаболические процессы (рис. 324-1). Заболевания щитовидной железы проявляются качественными или количественными изменениями секреции гормонов, увеличением размеров органа (зоб) или тем и другим вместе. Недостаточность секреции гормонов приводит к развитию синдрома гипотиреоза, или микседемы, главной особенностью которого служит снижение калорических затрат (гипометаболизм).Напротив, чрезмерная секреция активных гормонов вызывает появление гиперметаболизма и других признаков синдрома, называемого гипертиреозом, или тиреотоксикозом. Увеличение массы щитовидной железы (составляющей у взрослого человека в норме 15-25 г) может быть диффузным или очаговым. Диффузное увеличение необязательно должно быть полностью симметричным. Обычно правая доля железы увеличивается больше, чем левая. Такое увеличение может сопровождаться повышенной, нормальной или сниженной секрецией гормонов, что определяется причиной заболевания. Истинно очаговое увеличение отражает, как правило, наличие новообразований, будь то добро- или злокачественных. Первые иногда обусловливают гиперсекрецию тиреоидных гормонов и гипертиреоз, тогда как при злокачественных опухолях это наблюдается очень редко. Зоб любого типа может привести к сдавлению соседних структур шеи и средостения. ![]() Структурные формулы тироксина, его предшественников и некоторых метаболитов. |
|
|

Нормальная функция щитовидной железы направлена на секрецию L-тироксина (Т4) и 3,5,3'-трийод-L-тиронина (Т3) - йодированных аминокислот, которые представляют собой активные тиреоидные гормоны и влияют на разнообразные метаболические процессы (рис. 324-1). Заболевания щитовидной железы проявляются качественными или количественными изменениями секреции гормонов, увеличением размеров органа (зоб) или тем и другим вместе. Недостаточность секреции гормонов приводит к развитию синдрома гипотиреоза, или микседемы, главной особенностью которого служит снижение калорических затрат (гипометаболизм).